Integration using sin and cos identities
Categories: integration calculus trigonometric functions
Level:
We sometimes need to integrate functions that involve powers of trigonometric functions, or even products of powers of different trigonometric functions. We can often use trigonometric identities to help solve these problems.
By trigonometric identities, we mean the well-known identities from geometry, such as the double-angle rule, and good old Pythagoras. Those rules aren't just for triangles, they apply to calculus, too. We will see how to do that in this article.
We will only cover sine and cosine here, other trig functions will be covered in a later article.
Trigonometric identities
These standard identities are useful for this technique:

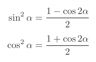
These double-angle identities are also useful. The can be derived from the third and fourth identities above by setting β equal to α:

Finally, this identity is basically Pythagoras theorem.

We will apply these to three different situations.
Odd powers of sine or cosine
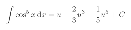
We will start by solving the following integral:

We will express cos to the power 5 like this:

We can now convert the cos squared terms to sin squared using Pythagoras:

We can now write the expression now in a very specific form - a function of sin x, multiplied by cos x:

This form allows us to perform integration by substitution, using the following values for u and du:

This works well because we have a cos x dx term, with everything else expressed in terms of sin x. We apply the substitution and then multiply out the brackets:

This is a simple polynomial in u. Here is what we get when we integrate it:

All we need to do now is replace u with sin x to get the final result:

Even powers of sine or cosine
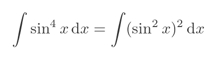
For even powers, we take a different approach. Let's look at this example:

To solve this, we will express the integrand in terms of sin x squared, and then use the double-angle formula to get rid of the square. So we first rewrite the integrand like this:

Using the double-angle formula gives:

Now we multiply out the square term:

We are getting there, but we now have a term in cos 2x squared. We need to apply another double-angle formula, but this time in 2x, which looks like this:

Making this substitution and simplifying gives:

This is just a linear combination of cosines, so we can integrate it. Just as a reminder, the integral of cos nx is a standard result:

Applying this and simplifying gives the answer:

Combining sines and cosines with different angle multipliers
Sometimes we will see problems of the form:

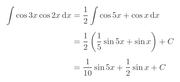
These problems can involve any combination of sines and cosines. As an example, we will look at a situation involving two cosines:

We will apply the trig identity for cos α times cos β from earlier:

This is just the sum of two cosines, which we can easily integrate:

More complex expressions
We have seen three techniques for dealing with products or powers of sine and cosine functions.
For more complex problems, we might need to apply the techniques more than once (as we saw in the second example). Sometimes we might need to apply more than one of the techniques shown. But the approach is always the same, we work on the integrand until it reduces to a linear combination of simple trig functions, and then perform the integration.
Related articles
Join the GraphicMaths Newsletter
Sign up using this form to receive an email when new content is added to the graphpicmaths or pythoninformer websites:
Popular tags
adder adjacency matrix alu and gate angle answers area argand diagram binary maths cardioid cartesian equation chain rule chord circle cofactor combinations complex modulus complex numbers complex polygon complex power complex root cosh cosine cosine rule countable cpu cube decagon demorgans law derivative determinant diagonal directrix dodecagon e eigenvalue eigenvector ellipse equilateral triangle erf function euclid euler eulers formula eulers identity exercises exponent exponential exterior angle first principles flip-flop focus gabriels horn galileo gamma function gaussian distribution gradient graph hendecagon heptagon heron hexagon hilbert horizontal hyperbola hyperbolic function hyperbolic functions infinity integration integration by parts integration by substitution interior angle inverse function inverse hyperbolic function inverse matrix irrational irrational number irregular polygon isomorphic graph isosceles trapezium isosceles triangle kite koch curve l system lhopitals rule limit line integral locus logarithm maclaurin series major axis matrix matrix algebra mean minor axis n choose r nand gate net newton raphson method nonagon nor gate normal normal distribution not gate octagon or gate parabola parallelogram parametric equation pentagon perimeter permutation matrix permutations pi pi function polar coordinates polynomial power probability probability distribution product rule proof pythagoras proof quadrilateral questions quotient rule radians radius rectangle regular polygon rhombus root sech segment set set-reset flip-flop simpsons rule sine sine rule sinh slope sloping lines solving equations solving triangles square square root squeeze theorem standard curves standard deviation star polygon statistics straight line graphs surface of revolution symmetry tangent tanh transformation transformations translation trapezium triangle turtle graphics uncountable variance vertical volume volume of revolution xnor gate xor gate